While often not considered a ‘pollutant,’ the impacts of high carbon dioxide concentrations have become increasingly apparent over the years as more research has been conducted. While the concentrations of CO2 that most of us are exposed to every day likely won’t have any long-lasting impact, higher concentrations of the gas can have significant short-term effects.
One particularly famous study from Harvard University researchers found that at concentrations as low as 1400 ppm, our cognitive function can be 50% lower. Considering that 1400 ppm is not a very high concentration at all and that 50% lower cognitive function is very significant, it shows that carbon dioxide is something we should be concerned about, even if it doesn’t have longer-term consequences on health.
After learning this fact, I began to take my carbon dioxide monitor of choice – usually the Aranet4 Home – with me everywhere. I work from home and found it to be an invaluable tool for helping me manage my home workspace. It might seem like I’m exaggerating, but even the research shows that simply opening a window can greatly increase your productivity. Not only this, but I also found that managing my carbon dioxide levels led to me feeling much better and less tired.
However, carbon dioxide isn’t the only factor that impacts productivity, and many other variables need to be considered, too. This is where the device I am writing about today comes into play – the Altos is partially a carbon dioxide monitor but is also a more complete productivity-focused monitor that lets the user know exactly how productive their environment is at any given time.
Now, this is a bit outside of my normal field of air quality monitors, but I figured that since it includes a carbon dioxide sensor (and those I am familiar with!), it was up my alley enough to be worth looking at. With this in mind, I’m happy to present my review of the Altos productivity monitor today. I’ve been using this device for around one month, both in my home office and even when I’m out and about. Overall, I’ve spent many hours with the device, and I look forward to sharing my full thoughts with the device so you can decide if it’s a good choice for you!
Subscribe to BreatheSafeAir
We spend 90% of our time indoors. Make sure the air you breathe indoors is healthy.
This post contains affiliate links. For more information, please refer to my affiliate disclaimer. I was sent a product for review, but the article is not sponsored. All opinions expressed in this post are my honest thoughts. I only recommend products that I genuinely believe in.
Informational Purposes: Information on this blog is for informational purposes only. Readers are encouraged to confirm the information herein with other sources. This website assumes no responsibility for the accuracy of the information, and information is subject to change without notice. Products mentioned on this website are not medical devices and do not guarantee protection.
If you notice any errors or inconsistencies in this article, please contact me so I can update the information accordingly.
Is the Science Sound?

Impacts of carbon dioxide on cognitive performance. Image source.
The Altos monitor uses four sensors and AI to give you a score from 1 to 10 on your environment’s productivity level. The four metrics covered are carbon dioxide concentration, temperature, relative humidity, and noise – all of which can supposedly impact productivity. Before discussing the device itself, we first need to establish whether the science behind it is actually sound. So, let’s begin with carbon dioxide.
I’m already very aware of carbon dioxide’s impact on productivity, and the best academic source to verify this information for yourself is the Harvard Study I mentioned in the introduction. Researchers in that study found that at only 900 ppm, cognitive performance dropped by 15%, and at 1400 ppm, it dropped a much more extreme 50%. Remember to keep in mind that 1400 ppm isn’t high! If you work in a small room or office with no ventilation, you likely often see levels exceeding 3000 or 4000 ppm.
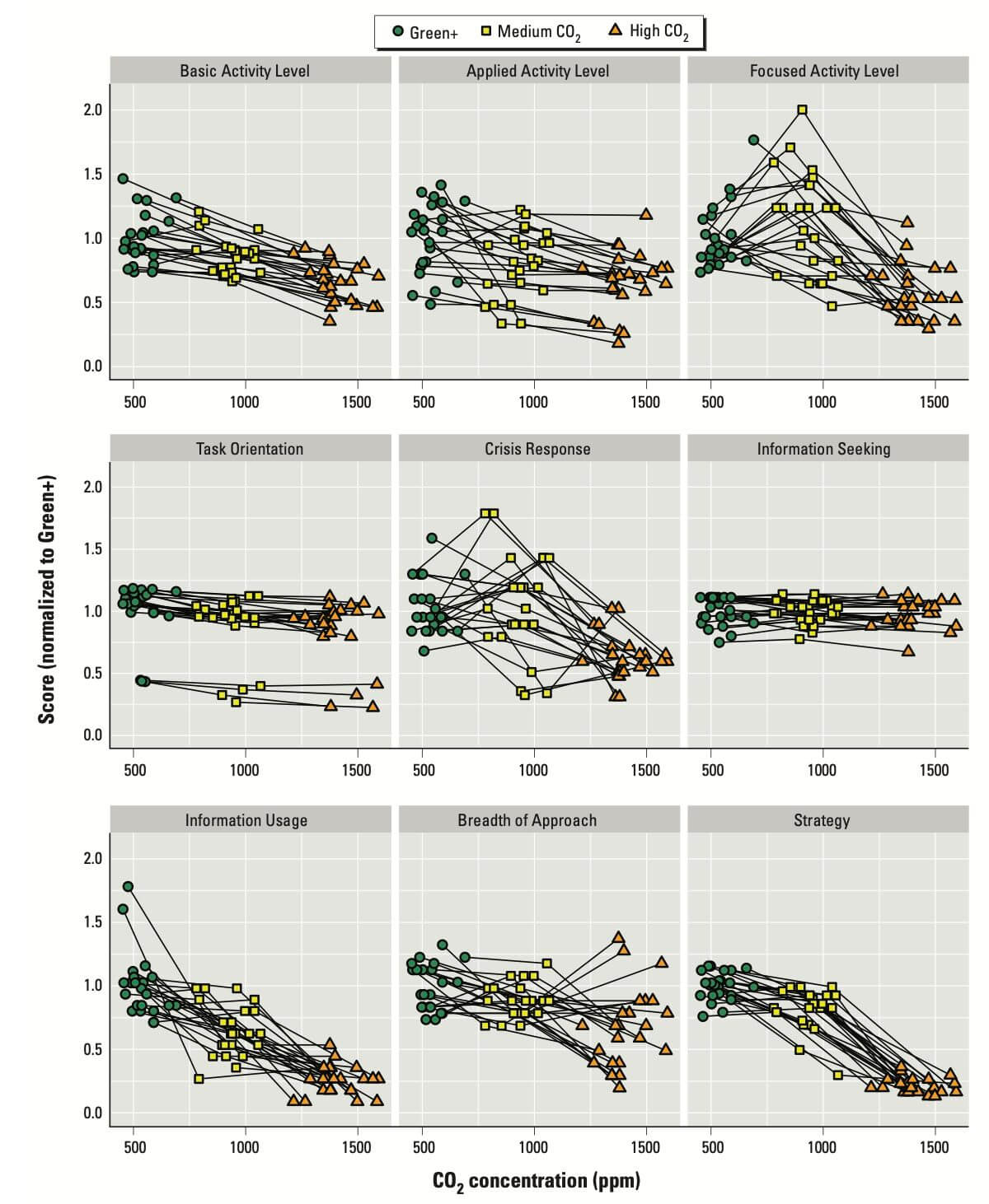
Another earlier study also tested the impacts of carbon dioxide on decision-making at 600 ppm, 1000 ppm and 2500 ppm. This study found that at both at 1000ppm, performance in many decision-making categories decreased slightly, while at 2500ppm, performance decreased drastically. Particularly in the fields of initiative, information usage, breadth of approach, and basic strategy, decision-making in the test subjects dropped very significantly at 2500 ppm.
There are also other studies on the subject of carbon dioxide, but needless to say, many studies have proven that it decreases cognitive performance and, in turn, decision-making. This means that as the carbon dioxide concentration increases, our productivity and ability to think decrease. Altos’ logic in using carbon dioxide as one of the four factors in its productivity algorithm is indeed founded.
The following two factors, temperature and relative humidity, are perhaps more apparent. We all know that when either of these factors is extreme, we begin to become uncomfortable, and this quickly leads to a loss in productivity. However, if you’re still not convinced, let’s take a look at some research.
According to the World Health Organization (WHO), humans have an indoor thermal comfort range of 18–24 °C. This is a surprisingly small range; anything outside of this could be considered uncomfortable. However, it doesn’t explain exactly how much of an impact a few extra degrees could have on productivity. There are countless studies on this topic, and many contradict each other.
However, it appears that within the thermal comfort range defined by the WHO, relative humidity has little impact on productivity. However, as temperatures become more extreme, both temperature itself and relative humidity changes can impact productivity. While not a peer-reviewed study, I found this PHD thesis to have a good overview of the impact of temperature and relative humidity on performance, and it also links to many other interesting studies on the topic.
The fourth and final factor is noise. However, noise is a bit more complex because different types can impact our productivity more than others. For example, the background noise of traffic likely won’t distract me as much as a conversation happening a few metres away. While both will decrease productivity (more on that soon), the conversation will likely distract me more as I’m more likely to get distracted by the spoken words themselves.
A World Green Building Council study found that noise can lead to as much as a 66% drop in productivity. While the noise level for this to occur is relatively high, productivity has been found to consistently drop as the background noise level increases. Furthermore, another study found that 3/10 employees regularly lose concentration due to background office noises. These are both significant and make noise worth considering if you are trying to be productive.
Therefore, all four parameters Altos measures to give an overall productivity score are sound. While there are other factors that can cause a decrease in productivity (volatile organic compound concentration comes to mind), the score that Altos provides does have a scientific basis. While I’m not entirely sure of the algorithm behind the final 1-10 score, I would at least believe that a score of seven means I am marginally more productive than a six but vastly more productive than a one.
Accuracy

As with all devices, accuracy is a core aspect of the device as this directly ties into whether or not you can trust the insights the device gives. While I was not able to find out exactly which sensor the Altos uses (I was worried that tearing this device down would render it unusable, as it’s not intended to be taken apart and has no obvious screws), I’ve been told that it uses an NDIR sensor. I would assume that the sensor in use is the SCD40 or SCD41 due to the relatively compact size of the device, but it’s also quite long, meaning that it could be a transmissive NDIR sensor instead.
Either way, the fact that the sensor is NDIR is a good starting point, as NDIR sensors are considered the gold standard for consumer-grade monitors (and even some professional-grade devices). These are the same sensors that you will find in monitors from the Qingping Air Quality Monitor Gen 2 to the Aranet4 Home. If my theories about the SCD4x sensor are correct, I can also say that Altos has a good sensor that has been well tested.
Regardless of exactly which sensor the device uses, I found it quite accurate, and it provided very similar readings to my Aranet4 Home and my AirValent TravelLite. While the reading frequency is quite a bit lower (I was told this was a custom change made by Altos to preserve battery life), they are very similar if you can get the readings lined up. This, combined with the fact that this device uses an NDIR sensor, led me to trust the readings from the device.
That said, it was very difficult for me to compare the readings from the devices. While the Aranet4 Home and AirValent TravelLite are clearly intended to provide more granular details via graphs, Altos takes an entirely different approach. Instead, this device emphasises simplicity, and while it does show some historical data, it’s not presented in a way that’s easily comparable to the other devices.
While I found the readings between devices quite accurate, it is worth noting that this device likely has some form of auto-calibration running behind the scenes. This likely runs on a seven-day cycle and could lead to incorrect readings in some situations. For a full explainer, please read the blurb below.
Some carbon dioxide sensors and monitors implement autocalibration, a feature that prevents sensor drift (sensors slowly losing accuracy over time) by regularly calibrating the device.
How ABC Works: On a set interval, the sensor will perform ABC (automatic baseline calibration), which sets the lowest carbon dioxide concentration the device has been exposed to as the baseline (typically 400 or 420ppm). This isn’t an issue if a monitor is regularly exposed to ambient air (around 420-430ppm). However, if the device is in a room where CO2 levels do not reach ambient every calibration cycle (typically seven days), it can incorrectly set a baseline, throwing off all readings until the next automatic calibration.
If your monitor regularly goes outside or is in a room that often sees ambient or near ambient CO2 levels, ABC can be very useful. If not, I recommend disabling the feature.
However, provided this automatic calibration cycle is managed (in other words, as long as the device is exposed to ambient air relatively frequently), the readings from the device appear to be quite accurate compared to other consumer-grade CO2 monitors.
Finally, it’s worth noting that while you can’t see high-resolution graphs on this device, you can see the historical carbon dioxide concentrations sorted by hours or days. I believe these measurements to be averages over the given period, which are handy for assessing when you were exposed to higher concentrations of carbon dioxide. This allows you to take action based on this data, but it won’t provide the same details that more traditional carbon dioxide monitors will.
Overall, I think the Altos device is accurate, but I wish the team were a bit more transparent on exactly what sensor they are using. While it won’t make a big difference to most users, it’s good to know this kind of information as it allows us to identify any potential caveats the sensor and device may have. That said, at least the sensor is NDIR, which is very important!
Design

The Altos is an extremely lightweight and compact device, weighing just over 50 grams. This weight, combined with the fact that the device is shaped like a tall (triangular) cylinder with a mounting point for a lanyard or carabiner at the top, makes it the perfect device to be used anywhere. I really appreciate how Altos has leaned into the portable aspect. This is a monitor that can easily be placed on a desk, attached to a backpack, or even put in a pocket.
On its longest edge, the Altos is 87mm long, meaning that it’s also very compact and lightweight. The device’s shape also makes it feel significantly more durable than some other monitors, and I feel much more confident placing this device in my pocket or a bag than I do with some other monitors I’ve used. While I typically use this device in my working space, as a digital nomad, I appreciate the portability, too.
The device is a triangular cylinder, and on one of the three corners, there is a small but tall display. This display has a battery indicator and bars representing your current productivity score. If one bar is highlighted, you have a poor environment for productivity. If ten bars are highlighted, then you know you’re ready to have a productive work (or non-work) session! This is the only information you can get from the device itself, and for further insights, you will need to use the accompanying app.

There is a button on the top of the device which can be used to turn it on or off, but to be honest, I don’t really see a need for this. With up to six months of battery life, I have never found myself needing to turn the device off. It is used during the initial Bluetooth pairing process, so I understand the need for the button during the setup phase. After this, however, I’ve never used it. Also, on the top of the device is a small mounting point for a lanyard or carabiner (although, most carabiners won’t fit here, so you will need to attach it to a thin string first).
Turning the device around, there is a small vent for air to enter at the bottom. This, of course, is essential for the NDIR sensor to get accurate readings. It is also needed for accurate temperature and relative humidity readings. Also, on the bottom of the device is a Type-C USB port that will allow you to charge the internal battery when needed – so, twice per year!

The plastic outer shell is textured with a wave-like design, meaning that the device is relatively grippy and nice to hold. While I don’t think this is essential in a device like this, I appreciate the thought that has gone into making Altos a bit more interesting to look at and interact with!
Overall, the Altos monitor’s design is very simple, and there is a clear and consistent design language across both the device and the app. It’s clear that a lot of effort has gone into making this device as simple and straightforward as possible. It’s a no-frills device that shows you what you want to know – your productivity score – with no distractions.
Connectivity & App


Since the Altos is a device that you can’t interact with much past glancing at the 1-10 score displayed with bars on the device’s side, it must have a good application to support it. Thankfully, the app provides a good, albeit limited, experience with all of the pertinent information within reach. However, before we get too distracted by the app, let’s discuss connectivity.
The Altos device supports Bluetooth, and once you’ve installed the app, you can pair your Altos device with your smartphone. This process was straightforward and seamless for me, and I found the setup process to be one of the easiest I’ve experienced with an air quality monitor (if this device can still be called that!).
Since the device uses Bluetooth, you will need to keep Bluetooth enabled on your phone and keep the device and your phone within relatively close proximity to get updates via the app. In day-to-day usage, I found this to be no issue at all as the idea with the Altos is that you keep it on your person at all times, and I almost always have my phone with me, too. On top of that, I found the Bluetooth performance of the device to be quite good, and it appears to have more range than devices like my Aranet4 Home.
It’s worth noting that as long as the app is running on your phone, it will sync with the device every 30 seconds. This ensures you don’t lose any data, even if you forget to open the app for a while. However, if the device is far away from your phone or if the app isn’t running, you will begin to lose data until you open the app again. Internal data storage is something that the team is working to implement, but it’s not here yet.
Now, let’s move on to the app itself. From my first time launching the app, it was clear that design and user-friendliness were at the top of the Altos teams’ priorities when creating this app. It’s aesthetically pleasing and conveys the information in a way that’s very easy to understand. I quite like the clean UI, and the app is fast and responsive.
On the home screen, you will be presented with a 1-10 score, identical to the one displayed on the side of the monitor. This score is your overall productivity score, and anything higher than a seven is deemed good, while anything lower than a 4 is considerably poorer air quality. I have yet to see a 1, but I have seen 10 a few times when I have good ventilation and the other conditions are within the optimal range.


You can also see a short status at the bottom – at the time of my writing this, it says, ‘the environment is conducive to productive work and life,’ which, hopefully, implies this article will be well written! Underneath this short text, you can find a breakdown of the four factors that contribute to giving this overall score. Helpfully, by tapping on any of these metrics, you can also see a spectrum of possible scores and whether they’re good or bad.
By scrolling to the right, you can see a statistics screen that breaks down your average productivity score into hourly, daily, and monthly averages. While you can’t get any higher resolution than hourly, you can identify some trends in your productivity score and identify the causes of these. For example, if I open my window at 11 a.m., I should begin to see an improved productivity score in the following hours.
Finally, there is a settings screen that shows the estimated battery life remaining and allows you to update firmware, unpair the device, and access some other basic information like the privacy policy and terms of use. Overall, the settings menu is quite sparse, as is the app.


Now, I’m not too sure where I stand on this. On one hand, I’m an air quality enthusiast, and I see a lack of basic (but, in my mind, very important) features like calibration for the CO2 sensor. If this were any other CO2 monitor, I would instantly be complaining about this. On the other hand, I see this monitor as targeting a completely different user group than myself, and I believe that Altos was trying to make the device as simple and user-friendly as possible.
While I will discuss these conflicting feelings more in the conclusion, I think the app overall is a pleasure to use – albeit very simple and limited in functionality. If you want a quick breakdown of your productivity score and nothing else, this is the perfect application. It won’t distract you, but it will inform you. I also understand that for many users, this is exactly what they want.
Pricing & Competition

Please note that the price in the above image is in New Zealand Dollars.
Let’s get straight to the point: Altos is an expensive device, coming in at $299 or $249 on sale. This instantly makes it more expensive than even the most expensive carbon dioxide monitors, such as the Aranet4 Home. Now, while I keep comparing this device to a ‘typical’ carbon dioxide monitor, I understand that they clearly have different target audiences. However, since CO2 monitors also measure carbon dioxide, temperature, and relative humidity, I feel the comparison is only fair.
What Altos does that no other monitor that I’m aware of does is provide an easy to understand and insightful score based on your environment. While many of us could interpret this from a dedicated carbon dioxide monitor’s results, I believe the target audience for a device like this doesn’t necessarily understand or even want to understand what specific carbon dioxide concentrations indicate. Instead, they want a quick and simple score, which the Altos provides.
Therefore, I also don’t feel like Altos has any competition in its market segment. While some air quality monitors provide productivity scores (like the Air-Q Basic that I recently reviewed), this device isn’t portable and can’t be taken out and about with you. Instead, it’s a good static monitor for when you work from home, and you can keep an air quality monitor in your office.
While there are devices much cheaper than the Altos with similar components, it’s also clear that a lot of time and effort went into developing other aspects of the product, such as the application. Therefore, I wouldn’t say that it’s overpriced, but that it is expensive but justifiable for some people. Basically, if you want a monitor to keep an eye on how productive your environment is, this is perfect. However, it also won’t provide the advanced insights that some other monitors do.
Conclusion

Altos is quite an interesting carbon dioxide monitor that puts a unique spin on how the data is conveyed to the user. While the audience interested in more traditional CO2 monitors like the Aranet4 Home or AirValent CO2 monitor likely won’t be interested in this device, it’s trying to reach a whole new audience of users who have never considered the need for a carbon dioxide monitor. I imagine that many office workers, those who work from home, and even many entrepreneurs with their own businesses and startups would be interested in a device like this.
I believe that I partially fall into this audience (I work from home, wherever that may be at a given time, as I’m also a digital nomad), but I also have a different take as an air quality enthusiast who has ample experience with other monitors. I’m in this camp because I can already translate a carbon dioxide concentration reading into a productivity score in my head. Therefore, a device like this isn’t much more useful to me than a much cheaper carbon dioxide monitor.
With that said, this monitor is ideal for people who are solely focused on productivity and don’t want to take the time to understand exactly how air quality impacts productivity. It removes the need to understand the particular values and the science behind them and provides a very digestible score, letting you know when your environment is conducive to productive work or whether you’re performing far below your best. Importantly, the science behind this monitor’s index is sound, and improving your Altos score will improve the quality of your work (and the speed at which you can do it!).
Therefore, if you are worried about your productivity, I believe the Altos is a device worth looking into. While it is pricey, there are groups of people out there who really value productivity, and this is the kind of monitor for them. Of course, it’s also important to only get a monitor like this if you’re in control of your work environments. Are you able to open a window? Can you turn on the heater or AC? If not, knowing this information will not help you, as you’re not in the position to make the changes required for better productivity.
At the end of the day, if you’re worried about your productivity or would like to always be at your best, and you can control the environment you work (or study) in, Altos is worth considering. It is pricier than dedicated CO2 monitors, but it’s clear that a lot of work has gone into the app and the overall user experience to make this an extremely straightforward device to use.
- Backed by solid scientific research on productivity factors.
- Lightweight, portable, and durable design.
- Simple 1-10 productivity score for easy interpretation.
- Extremely long battery life (up to 6 months).
- User-friendly app with a clean interface.
- Expensive compared to traditional CO2 monitors.
- Lacks calibration features for the CO2 sensor.
- Limited data insights—no raw readings or historical trends.
- Bluetooth-only connectivity; no Wi-Fi or cloud integration.
- Only provides a general score, limiting deeper analysis.
What does the Altos monitor measure?
It tracks carbon dioxide levels, temperature, humidity, and noise, all of which impact productivity.
How does the productivity score work?
The device assigns a 1 to 10 score based on environmental conditions, with higher scores indicating a more productive workspace.
Can the CO2 sensor be calibrated?
No, the Altos does not support CO2 sensor calibration, which may be a downside for users needing precise measurements.
Does the Altos require an internet connection?
No, it uses Bluetooth connectivity and does not have Wi-Fi or cloud integration.
How long does the battery last?
The battery lasts up to 6 months on a single charge.
Is the Altos worth the price?
It depends on your needs. It’s great for simplified productivity tracking, but it’s more expensive than standard CO2 monitors.
Who is the ideal user for the Altos?
The device is best for office workers, remote employees, and productivity-focused individuals who want quick insights rather than detailed air quality data.
Have Questions or Comments?
Join the discussion on the BreatheSafeAir Community Forum. Ask any questions you have about air quality or adjacent topics and get quick answers!
Altos Review - The Air Quality Monitor that Keeps You Productive

Altos Productivity Monitor tracks CO2, temperature, humidity, and noise to provide a 1-10 productivity score. Compact and Bluetooth-enabled, it helps users optimize their workspace for better focus.
3.5
Pros
- Backed by solid scientific research on productivity factors.
- Lightweight, portable, and durable design.
- Simple 1-10 productivity score for easy interpretation.
- Extremely long battery life (up to 6 months).
- User-friendly app with a clean interface.
Cons
- Expensive compared to traditional CO2 monitors.
- Lacks calibration features for the CO2 sensor.
- Limited data insights—no raw readings or historical trends.
- Bluetooth-only connectivity; no Wi-Fi or cloud integration.
- Only provides a general score, limiting deeper analysis.
Start the discussion at https://cleanair.community