Malaysia, known for its beautiful landscapes and rich culture, faces a common global challenge: air pollution. This issue affects the environment and people’s health. During my recent visit to Kuala Lumpur, I couldn’t help but notice the air quality and compare it with other countries I’ve been to, like India, Vietnam, Pakistan, Korea, Thailand, and the Philippines.
The sources of Malaysia’s air pollution are multifaceted, ranging from industrial emissions and vehicular exhaust to the occasional transboundary smoke from neighbouring countries. This complex mix mirrors the air pollution issues in countries like India and Pakistan, where rapid industrialisation and urbanisation have outstripped environmental safeguards. Moreover, Malaysia’s geographical position makes it susceptible to the seasonal haze, a challenge it shares with nations like Indonesia and akin to the pollution struggles in Thailand and Vietnam related to agricultural burning.
During my stay in Kuala Lumpur, I observed the city’s dynamic yet contrasting air quality. The days oscillated between clear, blue skies and periods of haze, a pattern not uncommon in many urban centres across Southeast Asia. The traffic-laden streets, bustling with cars, often reminded me of Manila’s congestion and its contribution to the deteriorating air quality.
The health implications of air pollution in Malaysia are profound and deeply concerning. Research indicates a direct correlation between polluted air and various health issues, including respiratory ailments, heart diseases, and a general dip in life expectancy. These health hazards echo the grim realities faced in other heavily polluted regions. Nevertheless, it’s crucial to approach this issue with a balanced perspective. Malaysia’s proactive measures, such as enhancing public transport systems and embracing renewable energy, highlight the country’s commitment to battling this environmental adversary.
As we delve deeper into the nuances of air pollution in Malaysia, this article aims to provide a comprehensive understanding of the situation. We’ll examine the root causes of pollution, its impact on public health, and the strides being made towards cleaner air. This introduction serves as a gateway to a broader conversation, offering insights into the multifaceted nature of air pollution in Malaysia. It’s a narrative of challenges and resilience, underscoring not just the need for awareness and action but also the potential for positive change and a healthier, more sustainable future.
Subscribe to BreatheSafeAir
Air pollution is a silent killer that affects millions of people worldwide. Start protecting yourself today.
This post contains affiliate links. For more information, please refer to my affiliate disclaimer.
Informational Disclaimer: Information on this blog is for informational purposes only. Readers are encouraged to confirm the information herein with other sources. This website assumes no responsibility for the accuracy of the information, which is subject to change without notice.
If you notice any errors or inconsistencies in this article, please contact me so I can update the information accordingly.
Is Air Pollution an Issue in Malaysia?

World Air Quality Report 2021 (Southeast Asia). Unfortunately, a more recent edition is not currently available in the same depth as the 2021 report.
Air pollution in Malaysia, a country known for its vibrant culture and natural beauty, is a significant environmental and public health issue, especially in its rapidly urbanizing and industrializing areas. The contrast between Malaysia’s pristine natural landscapes and its bustling, pollution-prone cities presents a complex scenario reflecting the global challenge of balancing development with environmental sustainability.
In urban centres like Kuala Lumpur and Penang, air pollution primarily stems from vehicle emissions, industrial activities, and construction work. The impact of these pollutants is not just theoretical but has tangible effects on the health and well-being of the population. The World Air Quality Report 2021 by IQAir highlighted that several Malaysian cities recorded PM2.5 concentrations above the World Health Organization’s recommended levels, indicating a clear risk to public health (IQAir Report 2021). While these statistics are alarming, they represent a snapshot of an evolving situation influenced by factors such as policy interventions, economic activities, and seasonal changes.

While many of the cleanest cities in SEA are in Malaysia, some of the most polluted are also in Malaysia.
The health implications of air pollution in Malaysia are profound. A study published in the journal “Atmospheric Environment” suggests that exposure to particulate matter (PM10) in Malaysia is significantly associated with respiratory and cardiovascular diseases. Furthermore, a report by the Centre for Research on Energy and Clean Air (CREA) revealed that air pollution in Malaysia contributed to thousands of premature deaths annually, underscoring the urgency of addressing this issue.
On top of this, other connections have been found between particulate air pollution and diseases. For instance, research indicates that long-term exposure to high levels of PM2.5 can drastically affect lung function and exacerbate conditions like asthma and chronic bronchitis. It’s also important to note that this is barely scratching the surface, as PM2.5 and PM10 are only two forms of air pollution.
In addition to immediate health risks, long-term exposure to polluted air can decrease life expectancy. According to the State of Global Air 2020 report, air pollution reduced life expectancy by up to several years in the most affected regions, which likely holds for Malaysia’s most polluted areas.
Despite the grim statistics, the situation in Malaysia is not uniformly bleak across the country. In regions like East Malaysia, which boasts abundant greenery and less industrial activity, the air quality is noticeably better. This disparity highlights that air pollution is not a one-size-fits-all issue within the country and that targeted, region-specific solutions are required.

Annual PM2.5 measurements in Malaysia’s largest ten cities. Source.
However, it’s also worth noting that based on the WHO annual PM2.5 guideline of 5µg/m3, no city in Malaysia (at least, based on the World Air Quality Report 2021) is considered ‘safe’. As the image above shows, even the cities in Malaysia with the cleanest air surpass WHO guidelines for annual safety limits. Therefore, while some areas indeed suffer more from air pollution and its impact is disproportionate across the region, this is an issue that needs to be tackled on a nationwide scale.
The Malaysian government has taken steps to address air pollution, including implementing stricter emission standards for vehicles and industries and promoting cleaner energy sources. These efforts, though in their nascent stages, are crucial in mitigating the environmental and health impacts of air pollution. Public awareness campaigns and community initiatives further complement these governmental actions, creating a multi-faceted approach to tackling this complex issue.
In conclusion, air pollution in Malaysia is a pressing concern with significant implications for public health and the environment. The disparity in air quality across different regions of the country highlights the need for both localized and national strategies to address the issue effectively. While the challenge is formidable, the concerted efforts of the government, private sector, and civil society provide a hopeful outlook for the future.
Causes of Air Pollution in Malaysia

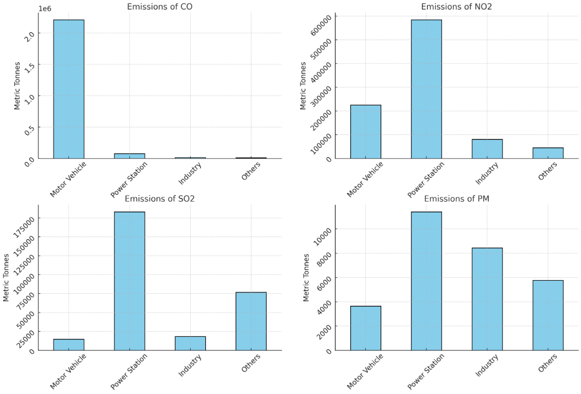
Sources of air pollution in Malaysia. Based on this 2020 data.
Malaysia’s air pollution landscape is shaped by a combination of local activities and regional phenomena, each contributing to the overall air quality in distinct ways. Below is a list of the largest contributors to air pollution in Malaysia. Afterwards, we will discuss each in detail.
Largest Contributors to Air Pollution in Malaysia:
- Industrial Emissions
- Vehicular Emissions
- Construction Activities
- Open Burning and Agricultural Practices
- Transboundary Haze
The industrial sector, a cornerstone of Malaysia’s economy, is a significant source of air pollution. Factories, especially those involved in manufacturing and processing, emit various pollutants, including particulate matter, sulphur dioxide, and nitrogen oxides. These emissions are particularly prevalent in industrial hubs such as Penang and Johor Bahru.
Vehicular emissions are another major contributor to air pollution in Malaysia, especially in densely populated urban areas like Kuala Lumpur. The increasing number of vehicles on the road, coupled with heavy traffic congestion, leads to higher levels of pollutants such as carbon monoxide and particulate matter. A recent study highlights the impact of vehicular emissions on air quality in urban areas, emphasizing the need for improved public transportation and emission standards to mitigate this issue.
Construction activities, a reflection of Malaysia’s rapid urban development, also contribute to air pollution. These activities release dust and other particulates into the air, impacting the immediate vicinity and contributing to wider air quality issues. The construction sector’s impact varies across regions, with more pronounced effects in rapidly urbanizing areas.
Open burning and agricultural practices, particularly in rural areas, add to the air pollution problem. The burning of agricultural waste and forest fires releases significant amounts of smoke and particulate matter into the atmosphere. Moreover, the practice of open burning for land clearing is not uncommon despite its negative environmental impact. The consequences of these practices are not confined to rural areas but can affect air quality nationally, especially when weather conditions carry the pollutants to urban centres.
Transboundary haze, primarily originating from Indonesia, significantly affects Malaysia’s air quality. This seasonal phenomenon, resulting from forest fires and land clearing for agriculture in Indonesia, sends a blanket of smoke across the region. The haze carries a mix of gases and particulate matter, posing health risks and reducing visibility. Malaysia’s experience with transboundary haze is shared with other Southeast Asian countries, highlighting the need for regional cooperation in addressing this issue.
The causes of air pollution in Malaysia are multifaceted, with regional differences in the prevalence and impact of each source. Industrial and vehicular emissions dominate urban and industrialized regions, while open burning and agricultural practices are more prevalent in rural areas. Conversely, the transboundary haze affects the country on a broader scale, transcending regional boundaries.
Addressing air pollution in Malaysia requires a comprehensive approach that considers the unique characteristics of each region and the interplay between local activities and broader regional phenomena. Policies and initiatives need to target specific sources of pollution, promote cleaner industrial practices, reduce vehicular emissions, and curb open burning and unsustainable agricultural practices. Furthermore, regional cooperation is essential to tackle transboundary issues like haze effectively.
In conclusion, the battle against air pollution in Malaysia is complex, involving a range of sources and factors. The path forward involves local action and regional collaboration, focusing on sustainable practices and policies that safeguard the environment while supporting economic growth. By understanding and addressing the diverse causes of air pollution, Malaysia can pave the way for cleaner air and a healthier future for its citizens.
Are All Cities in Malaysia Equally Polluted?

PM2.5 concentrations across Malaysia. Source.
Malaysia’s diverse geographical landscape plays a significant role in the distribution and intensity of air pollution across the country. While industrialization and urbanization are primary drivers of air pollution in certain regions, others enjoy relatively cleaner air due to their geographical features and lesser industrial activities. Understanding these regional disparities is crucial for targeted policy-making and public awareness.
Cities like Kuala Lumpur, Penang, and Johor Bahru, known for their dense population and industrial activities, often face higher levels of air pollution. Kuala Lumpur, the capital city, is a hotspot for vehicular emissions due to heavy traffic congestion and a high number of vehicles. Similarly, with their industrial sectors, Penang and Johor Bahru contribute significantly to air pollution through factory emissions. These urban areas, characterized by their economic activities and urban lifestyle, tend to have higher air pollution levels compared to rural areas.
The geographical setting also influences air pollution patterns. For instance, the Klang Valley, encompassing Kuala Lumpur and its adjoining areas, often experiences poor air quality due to its topography. Surrounded by mountains, the valley restricts the dispersion of pollutants, leading to the accumulation of smog, especially during periods of minimal wind. This situation is exacerbated during the southwest monsoon season when the air becomes stagnant, trapping pollutants in the area.

AirVisual Map of Malaysia as of writing.
On the other hand, regions like East Malaysia, encompassing Sabah and Sarawak, generally enjoy better air quality. The abundant greenery, lower population density, and lesser industrial activities contribute to cleaner air in these regions. The extensive rainforests in these areas play a crucial role in purifying the air, acting as natural air filters that absorb carbon dioxide and release oxygen.
However, no region is entirely immune to air pollution. Even areas with lower industrial activities can experience poor air quality due to transboundary haze, a recurring issue in Malaysia. This haze affects large parts of Malaysia, particularly the western regions. The severity of the haze varies from year to year, but it often leads to significant declines in air quality, affecting health and visibility.
The monsoon seasons also impact air quality in Malaysia. The northeast monsoon brings heavy rainfall to the east coast of Peninsular Malaysia and Western Sarawak, which can help clear the air of pollutants. However, during the inter-monsoon periods, the reduced rainfall and lower wind speeds can lead to the accumulation of pollutants, especially in urban and industrial areas.
Understanding the geographical nuances of air pollution in Malaysia is crucial for addressing the issue effectively. While industrialization and urbanization are primary contributors to air pollution in cities, natural factors like topography, vegetation, and seasonal changes also play significant roles. Now, let’s discuss how seasonal weather changes impact air pollution in Malaysia.
Seasonality of Air Pollution in Malaysia

Seasonal PM2.5 levels across Malaysia. Source.
The air quality in Malaysia is subject to significant seasonal fluctuations, primarily driven by the country’s distinct monsoon cycles, regional industrial activities, and transboundary haze. These factors collectively shape the unique air pollution landscape of the country, affecting different regions in varying magnitudes.
As we’ve already delved into how air pollution impacts different regions in Malaysia, I now want to take a look at how seasonal weather changes impact air pollution. Of course, these interactions are quite complex as different areas will also experience different weather patterns, meaning most trends are localised. However, I’ve done my best to simplify this section while still providing all the details you need. Firstly, let’s briefly have a look at how different areas are impacted by seasonal weather.
- Urban Areas: Cities like Kuala Lumpur, Penang, and Johor Bahru experience higher pollution levels during the dry months and inter-monsoon periods due to reduced rainwater washout and increased vehicular and industrial emissions.
- Rural Areas: Regions involved in agricultural activities may experience increased air pollution during the dry seasons due to open burning practices.
- Coastal Areas: These areas are particularly affected by the transboundary haze during the Southwest Monsoon, impacting air quality and visibility.
Malaysia experiences two main monsoon seasons: the Southwest Monsoon from May to September and the Northeast Monsoon from November to March. The country, particularly its western regions, encounters drier conditions during the Southwest Monsoon. This lack of precipitation allows air pollutants to accumulate, as rain typically helps cleanse the air by washing pollutants to the ground.
The prevalent transboundary haze exacerbates the situation – a result of forest fires and agricultural burning, mainly in Indonesia. This haze travels across borders and significantly degrades air quality, especially in the western and southern parts of Peninsular Malaysia. Cities like Kuala Lumpur and Johor Bahru often face the brunt of this haze, witnessing a marked reduction in air quality and visibility.

Seasonal air pollution in Malaysia.
Conversely, the Northeast Monsoon brings heavy rainfall, particularly to the eastern regions of Peninsular Malaysia and parts of Borneo. This season can somewhat alleviate the pollution levels as the increased rainfall helps to remove pollutants from the atmosphere. However, in urban areas with inadequate drainage systems, heavy rainfall can lead to other pollution-related problems like waterlogging, disturbing sediments and contributing to increased particulate matter levels, especially when combined with emissions from vehicles navigating wet roads.
The inter-monsoon periods, typically between April to May and October to November, present their own challenges. Characterized by lower wind speeds and less rainfall, these periods promote the stagnation of air and the accumulation of pollutants. Urban and industrialized regions, where emissions are constant, are particularly susceptible to decreased air quality during these times.
Seasonal agricultural activities also contribute to the seasonal air pollution narrative. The practice of open burning for land clearing is prevalent in rural agricultural areas and tends to peak during dry periods. While this practice is more localized compared to industrial emissions, it can significantly degrade local air quality. Furthermore, the pollutants generated can travel long distances, affecting air quality in urban areas as well.
The regional variation in the impact of these seasonal factors is evident. Urban areas, with their dense populations and high levels of vehicular and industrial activities, are generally more affected by the dry conditions of the Southwest Monsoon and the stagnant air of the inter-monsoon periods. In contrast, rural and agricultural regions might experience higher pollution levels during the dry seasons due to localized practices like open burning. Coastal areas, particularly those facing the straits of Malacca, bear the impact of the transboundary haze, which can severely affect air quality and visibility.

Malaysia has done a fantastic job in ensuring the majority of the population is in close proximity to an air quality monitor. Source.
Recognizing these seasonal patterns and their regional impacts is crucial for effective policy-making and public health management in Malaysia. The government, through the Department of Environment, monitors air quality and issues advisories, especially during periods prone to poor air quality, such as the haze season. These measures, coupled with public awareness campaigns and regional cooperation, particularly for transboundary issues, are pivotal in managing the seasonal challenges of air pollution in Malaysia.
In essence, Malaysia’s air pollution seasonality paints a complex picture, influenced by natural weather patterns, human activities, and regional environmental events. Tackling this issue demands a comprehensive and nuanced approach that accommodates each region’s distinct characteristics and the varying seasonal factors to safeguard the environment and public health across the nation.
Health Effects of Air Pollution in Malaysia

Proportion of health effects felt during daily commutes on normal days vs ‘haze’ days.
The detrimental health effects of air pollution are well-documented, casting a shadow over the well-being of the Malaysian population. This section delves deeper into the specific health repercussions, supported by Malaysia-specific statistics and studies, painting a comprehensive picture of this silent health crisis.
The immediate health impacts of air pollution are evident in the form of acute respiratory symptoms, including coughing, wheezing, and shortness of breath. These symptoms are particularly prevalent among urban populations, where the concentration of pollutants like nitrogen dioxide (NO2) and particulate matter (PM2.5 and PM10) is significantly higher due to vehicular emissions and industrial activities.
The correlation between these pollutants and respiratory issues has been substantiated by numerous studies, including research published in the journal Air Quality, Atmoshphere and Health which highlights the direct association between increased levels of PM10 and a rise in hospital admissions for respiratory problems in Malaysia.
One interesting study compared the short-term health conditions felt during normal commuting days to hazy commuting days in Malaysia. The results, which are shown in the graph above, show a significant increase in headaches, coughing, breathing difficulties, irritation of the eyes and nose, and more on days considered hazy. These short-term effects show that even short exposures to air pollution can be detrimental to our health and well-being.

Chronic exposure to polluted air further exacerbates health risks, leading to more severe conditions such as chronic obstructive pulmonary disease (COPD), heart disease, stroke, and lung cancer. The microscopic particles in polluted air, particularly PM2.5, are small enough to penetrate deep into the lungs and even enter the bloodstream, causing systemic inflammation and contributing to cardiovascular conditions.
A comprehensive study published by MDPI emphasized the profound impact of air pollution on health, the economy, the environment, and agricultural sources, estimating that air pollution in Malaysia contributes to thousands of premature deaths annually. This statistic sheds light on the gravity of the health crisis and underlines the broader economic and societal implications of air pollution.

Deaths attributable to air pollution in Malaysia.
Life expectancy is another critical aspect affected by air pollution. Studies indicate that in regions with high levels of air pollution, residents can expect their life expectancy to be reduced by several years. This reduction in life expectancy is a stark reminder of the potential years lost, not just in quantity but also in the quality and productivity of life.
The health effects of air pollution are not uniformly distributed across the population. Vulnerable groups, particularly children, the elderly, and individuals with pre-existing health conditions, are at a higher risk. Children, with their developing respiratory systems and higher breathing rates relative to their body size, are especially susceptible to the harmful effects of air pollution.
The exposure during these formative years can lead to long-term health issues, including reduced lung function and the development of asthma. The elderly population, often dealing with chronic health conditions, faces an increased risk of complications and mortality from air pollution-induced cardiovascular and respiratory diseases.

Estimated Health Impacts as a result of exposure to air pollution in Malaysia.
While these are some of the most well-known impacts of air pollution, it’s also important to note that the pervasive nature of air pollution extends beyond physical health, seeping into various facets of human life, including mental health and overall well-being. Recent studies have shed light on air pollution’s broader psychological and systemic impacts, revealing that its reach is more profound than previously understood.
The link between air pollution and mental health is an emerging area of concern. A growing body of research indicates that exposure to high levels of air pollutants is associated with an increased risk of mental health issues, including depression and anxiety. A study published in the journal Environmental Health Perspectives found that long-term exposure to particulate matter and nitrogen dioxide significantly increases the risk of severe depression.
This association is particularly concerning given the rising levels of air pollution in urban areas and its potential to exacerbate the global burden of mental health disorders. The mechanisms behind this link are not entirely clear. Still, it is suggested that the inflammation caused by pollutants in the body could be a contributing factor, affecting the brain and leading to changes in mood and behaviour.
Moreover, the impact of air pollution is not confined to specific organ systems but is systemic, affecting nearly every organ in the human body. A comprehensive review published in Chest Journal highlights that beyond the well-documented respiratory and cardiovascular effects, air pollution is associated with conditions affecting the brain, skin, and even fetal development in pregnant women. This widespread impact is a stark reminder of the insidious nature of air pollution and its capability to undermine overall health and quality of life.
All of this is to say that air pollution in Malaysia severely impacts the health of locals and visitors alike. While short-term exposure to air pollution is harmful, long-term exposures exacerbate the effects and can lead to a variety of minor to life-threatening conditions. While I struggled to find Malaysia-related air pollution stats, we know from the ever-growing body of research on the dangers of air pollution that its an issue that needs addressing.
The Past and Future of Air Pollution in Malaysia

Unlike its regional neighbours, Malaysia has seen an increase in PM2.5 levels from 2019. Unfortunately, I haven’t been able to source more recent data. Source.
The trajectory of air pollution in Malaysia presents a nuanced narrative of industrial progress, environmental challenges, and responsive policy-making. The historical and potential future air quality trends reflect the interplay between rapid development and increasing environmental consciousness.
Historically, Malaysia’s economic boom and urban expansion have been significant contributors to air pollution. Industrial activities, burgeoning traffic, and construction have escalated the levels of pollutants such as nitrogen dioxide, sulfur dioxide, and particulate matter. Notably, the industrial sector, pivotal in driving the nation’s economy, has also been a significant source of air emissions. This situation mirrors the global challenge where economic growth often comes with environmental costs.
Furthermore, seasonal environmental phenomena, notably the transboundary haze primarily resulting from forest fires in Indonesia, have periodically exacerbated air quality issues in Malaysia. Studies like this one have highlighted the significant impact of such transboundary haze on air quality and health in Southeast Asian countries, including Malaysia.

Other countries in the region, such as Thailand and Vietnam, have seen decreasing levels of PM2.5, whereas Malaysia continues to see worsening air quality.
Malaysia has taken strides to improve air quality in response to the escalating air pollution. The government’s implementation of stricter emission standards for vehicles, promoting public transportation, and incentivising cleaner industrial technologies mark a concerted effort to combat air pollution. Initiatives have been created aiming to reduce air pollution and promote sustainability. Establishing the Air Pollution Index (API) has been crucial in monitoring and managing air quality, allowing for timely advisories and actions.
Looking ahead, the future trends of air pollution in Malaysia hinge on the balance between development pressures and environmental stewardship. While industrial growth and urbanization pose challenges, the country’s commitment to sustainable development offers a counterbalance. The 11th Malaysia Plan, for instance, emphasizes sustainability and environmental resilience as key priorities, setting the stage for a more balanced approach to development and environmental protection.
The global push towards cleaner energy and the local emphasis on sustainable urban planning are positive indicators for the future of Malaysia’s air quality. However, the effectiveness of these initiatives in offsetting the pressures of industrialization and urban growth remains to be fully seen. The role of international cooperation, especially in addressing transboundary environmental issues like haze, will be crucial. Collaborative efforts, as seen in agreements like the ASEAN Agreement on Transboundary Haze Pollution, are essential in tackling these complex regional challenges.
In conclusion, the past and future of air pollution in Malaysia are shaped by a dynamic mix of development, policy response, and regional cooperation. While challenges remain, the growing emphasis on sustainability and proactive environmental policies offer a hopeful outlook. Continued vigilance, innovation in clean technologies, and regional collaboration will be pivotal in steering Malaysia towards a future where economic growth and environmental health go hand in hand.
It’s also important to note that while a lot of work remains to be done, Malaysia has taken significant strides in improving its air quality monitoring network, and it’s currently the best in Southeast Asia (with, perhaps, the exception of Singapore). I’ve been very impressed with how plentiful monitors are, and I hope to see the findings from this network used to make future decisions.
How You Can Protect Yourself From Air Pollution

Understanding the dangers, causes, and health effects of air pollution is undoubtedly the foundation for addressing the issue, but it is just the beginning. To effectively shield oneself from the adverse impacts of air pollution, this knowledge must be translated into proactive protective measures. Being aware of the risks is one thing; actively mitigating them through informed actions is another, and this latter step truly empowers individuals to safeguard their health and well-being.
Recognizing the sources and potential health hazards of air pollution equips individuals with the crucial context needed to navigate their environment more safely. It helps in making informed decisions, such as choosing a residential location with better air quality or planning outdoor activities when the air is cleaner. However, this knowledge must be complemented with a consistent awareness of current air quality levels to make real-time protective decisions.
In Malaysia, staying informed about the air quality is made relatively convenient thanks to the country’s extensive air quality monitoring network. The Air Pollution Index (API), provided by the Department of Environment of Malaysia, is an invaluable resource for the public. It offers real-time data on air quality, categorizing the pollution levels into different bands – from good to hazardous. This system allows individuals, families, and communities to make informed decisions about their daily activities, particularly during periods of poor air quality, such as during the haze season or in areas with high traffic emissions.
Moreover, mobile applications and online platforms provide accessible and timely updates on air quality, making it easier for everyone to stay informed. These tools can be particularly beneficial for vulnerable populations, such as children, the elderly, and those with pre-existing health conditions, enabling them to take necessary precautions and avoid exposure during times of high pollution. So, what precautions should you be taking? Let’s discuss those now.
Steps to stay safe from air pollution in Malaysia:
- Stay Informed: Regularly check the Air Pollution Index (API) through official websites, mobile apps, or news channels. Awareness of current air quality levels is crucial for planning outdoor activities and taking necessary precautions.
- Limit Outdoor Activities: Reduce or reschedule strenuous outdoor activities, especially when air quality is reported to be unhealthy. This is particularly important for vulnerable groups such as children, the elderly, and individuals with pre-existing health conditions.
- Use Air Purifiers: Consider using air purifiers with HEPA filters in your home or workplace to reduce indoor air pollution. These devices can effectively remove particulate matter and other pollutants from indoor air.
- Ventilation: Ensure proper ventilation to prevent indoor air pollutants from accumulating. However, during times of high outdoor pollution, keep windows and doors closed to prevent outdoor air from entering.
- Wear Masks: If you need to go outdoors when air pollution levels are high, wear N95 or equivalent masks that are capable of filtering out fine particles in the air. A surgical or cloth mask will not cut it for protection from these fine and ultrafine particles.
- Avoid High Traffic Areas: Pollution levels are usually higher in areas with heavy traffic. If possible, avoid these areas, especially during rush hours, to reduce your exposure to vehicle emissions.
- Maintain a Healthy Lifestyle: A healthy lifestyle, including regular exercise, a balanced diet, and adequate hydration, can help strengthen your respiratory and immune systems against the effects of air pollution.
- Indoor Plants: Some indoor plants can absorb certain pollutants and improve indoor air quality. Plants like spider plants, snake plants, and peace lilies can be beneficial. However, it’s important to note that the impact of plants on air quality is generally quite limited, and they won’t replace an air purifier.
Conclusion – Air Pollution in Malaysia

In conclusion, my exploration of air pollution in Malaysia has revealed a multifaceted challenge, intertwining industrial progress with environmental well-being. While the nation has grappled with significant air quality issues stemming from industrial emissions, vehicular pollution, and construction activities, I am encouraged by the proactive steps taken towards mitigation and improvement. The extensive air quality monitoring network in Malaysia and earnest governmental policies and public initiatives reflect a genuine commitment to addressing this pressing concern.
From a health perspective, the impact of air pollution in Malaysia is profound, touching virtually every aspect of human well-being. However, I believe that with the right knowledge and protective measures, individuals are well-equipped to safeguard their health against the perils of pollution. The availability of real-time air quality information empowers residents to make informed decisions, effectively reducing their exposure to harmful pollutants.
Looking to the future, I am optimistic about the trajectory of air quality in Malaysia. The nation’s increasing focus on sustainable practices, green technologies, urban planning, and its active role in regional cooperation, especially in combating transboundary issues like haze, signal positive changes. While challenges undoubtedly persist, the collective efforts of the government, private sectors, communities, and individuals are instrumental in steering Malaysia towards a future of cleaner air and overall health.
As we navigate the complexities of air pollution, I am convinced that every step counts. By staying informed, advocating for cleaner air, and adopting protective measures, we can all contribute to a future where the air in Malaysia supports life and reflects the nation’s resilience and dedication to sustainable living. The journey towards better air quality is ongoing, and it’s heartening to see Malaysia taking meaningful strides on this path. However, issues like transboundary haze underscore the need for united regional efforts.
Air Pollution in Malaysia FAQ
How Can Air Pollution Be Overcome in Malaysia?
To overcome air pollution in Malaysia, it is crucial to implement stringent environmental regulations, invest in sustainable transportation and energy solutions, and raise public awareness about the significance of maintaining good air quality.
How Can Air Pollution Be Reduced in Malaysia?
Reducing air pollution in Malaysia involves adopting cleaner industrial technologies, enhancing waste management practices, promoting the use of public transportation, and supporting initiatives aimed at reforestation and the creation of green urban spaces.
What Are the Causes of Air Pollution in Malaysia?
Air pollution in Malaysia is mainly attributed to industrial emissions, vehicle exhaust, construction activities, agricultural open burning, and transboundary haze from neighbouring countries.
What Is Air Pollution?
In Malaysia, air pollution refers to the presence of pollutants in the air that are detrimental to human health and the environment. This includes particulate matter, nitrogen oxides, carbon monoxide, and volatile organic compounds, largely emanating from industrial activities, vehicular emissions, construction, agricultural burning, and transboundary haze.
How can I Avoid Air Pollution in Malaysia?
Avoiding air pollution in Malaysia can be done by minimizing exposure during high pollution periods (checking the Air Pollution Index regularly), using air purifiers indoors, wearing masks outdoors during haze episodes, and choosing residential and recreational areas with better air quality.
Have Questions or Comments?
Join the discussion on the BreatheSafeAir Community Forum. Ask any questions you have about air quality or adjacent topics and get quick answers!

